개요
- Variable Rate Gradual Dutch Auction (이하 VRGDAs)는 미국의 크립토 VC 이자 리서치 기관인 Paradigm이 고안한 토큰의 발행과 세일 방식으로 점진적 더치 옥션(Grdadual Dutch Auction, 이하 GDA)과 유사하지만 GDA 대비 수요에 대한 탄력성이 더 좋다는 장점이 존재하는 것으로 파악됨
- 킹갓제너럴 VC 답게 Solidity 코드까지 구현하여 오픈소스로 제공하고 있음
- GDA는 유동성이 확보되지 않은 토큰의 판매를 원활히 진행할 수 있는 경매 방식으로, 더치 옥션을 분할로 진행하는 것
- 더치 옥션은 한정된 수량의 토큰을 일정에 따라 경매를 진행하기에, 수요가 많으면 경매의 이른 종료가 이루어지는 경우도 있어 구매 희망자는 이후 경매에 새롭게 참여해야 하는 등 참여자의 피로도가 높음
- VRGDAs는 일정(schedule)에 맞춰 토큰을 발행하면서도 토큰 세일이 종료된 이후의 매수 희망자에게 프리미엄을 받고 미래에 판매할 토큰을 즉시 판매하는 경매 방식. 수요에 탄력적으로 반응할 수 있는 장점이 있어, 이후 NFT 세일에서 자주 보이게 될 세일 방식으로 생각되며 특히 땅(Land)처럼 희소성과 기능성을 함께 갖춘 NFT 경매에 효과적으로 활용될 것으로 사료됨
- VGRDAs는 사용자가 그린 그림을 NFT 화해서 발행할 수 있는 Art Gobblers 과 온체인 레이싱 게임 0xMonaco에서 실험적으로 활용되었음
- NFT 세일을 진행한다면 해당 방식을 참고해 봐도 좋을 것 같고. NFT의 인플레이션을 설계할 때도 영감 받을 부분이 많아 보임
Gradual Dutch Auction (GDA)
VRGDAs를 알아보기 앞서, VRGDAs의 근간이 되는 GDA 경매 방식에 대해 알아봅시다!
GDA는 유동성이 확보되지 않은 자산의 판매를 진행하는 매커니즘으로, 더치 옥션(Dutch Auction)을 분할로 진행하는 것이 특징이에요.
더치 옥션이란?
: 높은 판매 희망가(high asking price)에서 시작하여 최초의 구매자를 찾을 때까지 점진적으로 가격을 낮추는 경매 방식.
: 역경매라고도 알려져 있는데 사실 둘이 다른 것이다. 역경매는 판매자가 여러 명 + 구매자 1명, 더치옥션은 판매자 1명 + 구매자 여러 명인 경매 방식
그렇다면 GDA를 활용하면 전통적인 더치 옥션 대비 어떠한 장점이 있을까요? 아래 예시를 보면서 알아봅시다!
뽀글이는 10,000 NFT를 제작하였고 해당 NFT에 대한 세일을 진행하고 싶어요.
그러나 민팅가격을 직접 정하고 싶지 않고 시장에 맡기고 싶으며, 가능한 고정된 가격에 판매를 진행하지 않으려고 합니다.
그래서 뽀글이는 높은 가격에서 시작해서 가격이 시간의 지남에 따라 낮아지는 구조의 더치 옥션을 활용하여 NFT 세일을 진행하기로 했어요.
따라서 최초의 구매자가 지불하는 가격이 NFT의 민팅 가격으로 정해지는 구조가 되겠습니다!
위의 예시는 NFT를 예로 들었지만 FT도 이런 세일 방식이 가능하고, 이러한 방식은
- 민팅가를 시장에 맡기는 방식이기는 하지만 이후 NFT에 대해서는 항상 고정된 가격으로 판매가 진행되기에 문제를 해결했다고 보기에는 어려우며
- 모든 잠재적인 구매 희망자가 민팅 가격에 동의를 하는 것은 아닐 것입니다. 단순히 최초의 구매자가 민팅 가격을 결정짓는 거라서 시장 참여자 모두가 가격발견(Price Discovery)에 참여했다고 보기에 힘들기 때문이죠
- 따라서 10,000개의 NFT의 판매가 전부 이루어지지 않을 가능성도 큽니다
일정 수량의 NFT의 더치 옥션을 개별적으로 진행하면 위의 단점을 해소할 수 있지만 또 다른 문제를 낳을 수 있습니다. 무슨 문제가 있을 수 있을까 한번 생각해 보면...
- (경매가 여러 번 나누어서 진행되기에) NFT 제작자와 옥션 참여자에게 많은 가스비를 요구할 것이며
- 자신이 원하는 NFT의 순서가 올 때까지 옥션 참여자는 계속해서 경매의 진행과정을 지켜봐야 하고, 사려고 결심한 순간에 NFT가 품절되었더라면 다음 세일 일정에 참여를 해야 하는 등 참여자에게 많은 피로도를 유발할 수 있으며
- NFT가 인플루언서, 오피니언 리더들의 shilling 등으로 커뮤니티 내에서 주목을 받으며 이에 대한 수요가 급증하는 특정 시기가 존재할 수 있는데, 이런 수요 급증에 반응하여 NFT 옥션 가격을 인상하거나 물량을 추가로 공급할 수 없는 등. 수요 탄력성이 떨어지는 문제가 있습니다
- 더치 옥션은 경매의 시작가격이 최고가인 천장 가격(Ceiling Price)이므로 해당 가격 이상을 지불할 용의가 있는 매수 희망자에게는 추가적인 monetization이 불가능하다는 단점 또한 있습니다
3번 문제의 경우, NFT 프로젝트가 독단적으로 옥션 가격을 인상할 수도 있겠지만 이는 커뮤니티 내에서 비판을 받을 수 있는 요소로 작용할 수 있어 도입하기 어려울 것입니다. 따라서 GDA의 장점을 계승하면서도 그 단점을 해결하려면
- 수요 : 수요가 많은 시기에는 민팅 가격도 상승할 여지를 만들어, NFT가 자유로운 가격 발견(Price Discovery)을 할 수 있게끔 만들어야 할 것이고
- 공급 : 경매를 상시적으로 진행하여 참여자가 원하는 경우에는 (프리미엄을 지불하더라도) NFT를 살 수 있어야 할 것입니다
그리고 위의 개선점을 적용한 세일 방식이 밑에서 소개할 Variable Rate Gradual Dutch Auctions (VRGDAs) 이랍니다!
Variable Rate Gradual Dutch Auctions (VRGDAs)
VRGDAs는 토큰을 일정(Schedule)보다 먼저 판매될 때는 가격을 올리고 일정보다 판매가 늦을 때는 가격을 낮춰 시간이 지남에 따라 기존 발행 일정에 맞추는 토큰 세일 방식이에요. 이게 무슨 소리일까요? 예시가 없으면 설명도 힘들고 이해도 힘드니, 바로 예시를 보면서 알아봅시다!
뽀글이는 2가지 종류의 NFT를 발행하려고 하는데, 그 종류와 특징은
- 10,000 개의 한정 수량의 NFT를 총 N 년에 걸쳐서 발행하며
- 수량 제한이 없는 NFT 또한 지속적으로 발행하지만 (인플레이션의 예측 가능성을 위하여) 일일 발행량은 x 개, 연간 발행량은 x * 365에 근사하게 만들려 한다
그리고 두 가지 NFT 모두 초기 수요가 가장 클 것을 감안하여 초기에는 많이 푼다
따라서 위의 특징을 가진 NFT의 발행 스케줄은 아래의 모습을 보여주겠습니다

VRGDAs는 토큰의 일정(Schedule)보다 먼저 판매될 때는 가격을 올리고 일정보다 판매가 늦을 때는 가격을 낮춰 시간이 지남에 따라 기존 발행 일정에 맞추는 토큰 세일 방식이라고 하였죠? 따라서 위 사진처럼 발행 스케줄이 있는 상태에서도, 수요가 강한 시기에는 미래의 물량을 현재에 발행하여 프리미엄을 받고 팔 수 있고, 반대로 수요가 적어진 시기에는 물량을 할인하여 판매할 수 있는 방식이 된다는 뜻입니다. 자세한 설명을 위해서 아래 예시를 보도록 합시다!
- 하루에 10 NFT씩 기본적으로 발행되어 대략 2.7년에는 10,000개의 NFT 발행을 완료하는 것이 목표 발행 스케줄(Target Mint Schedule)이며 이 NFT의 민팅 가격은 1 ETH이라 가정하자
- 1일 차에 10개의 NFT 발행되어 세일을 진행하고, 2일 차에도 10개... 3일 차에도 30개 세일을 완료하였음... 그러다 5일 차에는 수요가 높아서 미래의 20개를 추가로 팔아 총 70개를 팔았다고 한다
- 목표 발행 스케줄에 맞추려면 5일차에 50개를 팔았어야 한다. 하지만 수요가 강해서 2일 치에 해당하는 물량을 추가로 팔았고 따라서 목표 발행 스케줄보다 +2일 발행이 앞서고 있다. 따라서 내일부터는 민팅 가격을 올려서 세일을 진행한다. 얼마나 올려야 하나? 가격 결정식은 짜기 나름이지만 패러다임은 기본적으로 지수식을 활용하였음! 2일 앞섰으니까 내일 민팅 가격은 2^2 = 4배로 시작한다
- 발행을 시작한 지 15일 차가 되었음. 목표 발행 스케줄에 따르면 150개가 발행되었어야 하는데, 수요가 떨어져서 120개만 발행되었다고 한다. 목표 발행 스케줄보다 -3일 뒤처지고 있다. 따라서 내일 민팅 가격은 2^(-3) = 1 / 8배로 시작한다
- 발행을 시작한 지 30일 차. 목표 발행 스케줄에 맞추려면 300개 팔았어야 했는데, 딱 300개 발행했네? 현재 민팅 가격을 유지!

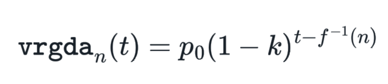
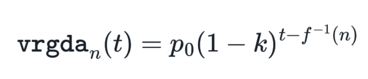
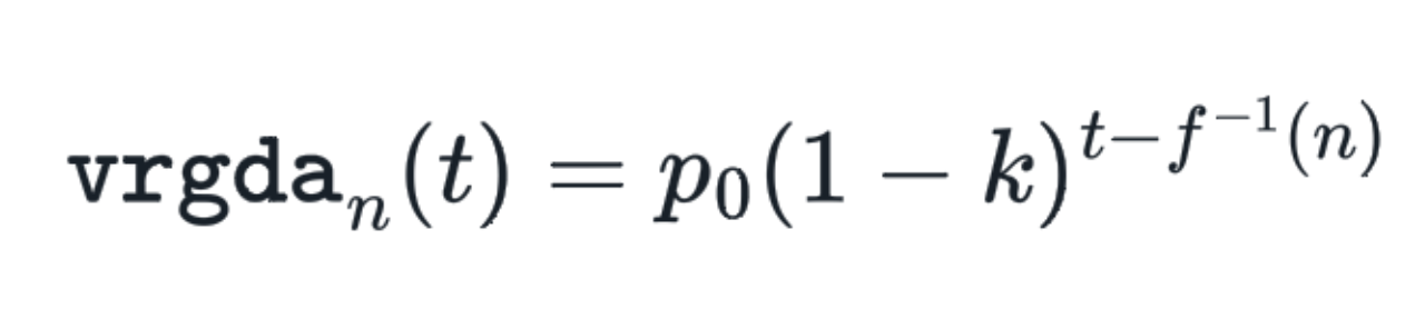
그리고 이를 일반적인 수식으로 표현하면 아래처럼 적을 수 있겠습니다

- f(t) : 목표 발행 스케줄
- p_0 : 목표 발행 스케줄에 따른 민팅 가격 (기본 가격)
- k : 목표 발행 스케줄에 뒤쳐지면 적용되는 시간가치에 따른 잠식 상수(Price Decay)
결론
VRGDAs의 특징은 GDA가 지닌 장점을 계승하면서도 수요가 상승하면 당연히 그에 맞게 가격을 올리고, 수요가 떨어지면 가격을 할인하여 NFT의 실제 공급량을 목표 발행 스케줄과 맞추는 것에 큰 의미가 있다고 생각되네요.
별개로 위의 예시는 매일 고정된 수량의 NFT를 발행하는 것을 목표로 한 선형적(Linear)인 공급 커브를 가정했는데요.
NFT 발행 스케줄을 선형적으로 짤 수도 있지만, 목적에 따라 다양한 방식의 공급 커브를 짤 수 있습니다.

일반적으로 프로젝트에 대한 수요는 초기에 큰 만큼 초기에 NFT를 많이 공급하고, 시간이 갈수록 발행량을 계속해서 낮추지만 총 발행 수량에는 제한이 없어 지속적으로 발행되는 루트 함수의 모습으로 짤 수도 있고 (반감기를 갖는 형태)

생태계 활성화를 목적으로 초기에 물량 대부분을 공급하고, 활성화 단계가 끝나면 인플레이션율을 거의 제로에 가깝게 만들어서 토큰의 가치 보존을 유도할 수도 있습니다!

그 외...
- 수요 탄력성 제외하더라도 민팅을 여러 회에 나누어서 진행하는 세일 방식은 지속적으로 유저 engage를 늘려줄 수 있는 방법이라고 보여서 앞으로 꽤 많은 프로젝트가 이러한 세일 방식을 도입하지 않을까 생각도 들고
- 시작 가격을 무료로 해둬서 매일 n 개의 nft 무료 미팅으로 유저 모객 하고, 그 이상으로는 돈 내서 사고 싶은 사람은 사라고 할 수도 있는 등 활용 요소가 매우 많아 보이네요
References
- https://www.paradigm.xyz/2022/04/gda
- https://www.paradigm.xyz/2022/08/vrgda
- https://en.wikipedia.org/wiki/Logistic_function
텔레그램에서 크립토 공부방 & 공지방을 공동 운영하고 있습니다!
AG RESEARCH
크립토 공부방
t.me
'crypto > 리서치' 카테고리의 다른 글
| 그간의 NFT 대출 방식과 Blur가 새롭게 제시한 Blend 모델 알아보기 (5) | 2023.05.02 |
|---|---|
| ON / OFF Ramp (2) | 2022.08.19 |
| Buy Now, Pay Later (BNPL) (0) | 2022.08.19 |
| Layer 2 Scaling Solutions (L2) (0) | 2022.08.19 |
| WEMIX (3) | 2022.07.19 |